Schematic and Diagram Full List

Find out User Manual and Engine Fix Collection

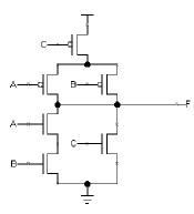
3 Input Xor Gate Circuit Diagram

3 input xor gate cmos circuit diagram wiring diagram 3 input xor gate circuit diagram 3 input xor gate cmos circuit diagram

3 Input Xor Gate Circuit Diagram

3 Input Xor Gate Circuit Diagram

Quad xor gate ic with common input to all four gates? : electronic_circuits Xor gate ic input quad circuits four gates exor digital Introduction to xor gate

[diagram] 3 input xor gate logic diagram

3 input xor gate cmos circuit diagram wiring diagram[diagram] 3 input xor gate logic diagram [diagram] 3 input xor gate logic diagram3 input xor gate circuit diagram.

Output timing diagram of three input xor gate when all inputs are inCmos xor gate circuit Circuit diagram for four input xor gate3 input xor gate cmos circuit iot wiring diagram.

[DIAGRAM] 3 Input Xor Gate Logic Diagram - MYDIAGRAM.ONLINE

3 input xor gate cmos circuit diagram » wiring digital and schematic

Ernest shackleton international moralische erziehung xor gate pakistan3 input xor gate circuit diagram Xor logic gate circuit diagram : 13 input xor gate truth table.

3 input xor gate circuit diagram3 input xor gate logic diagram Circuit diagram of xnor gate using nand gates only3 input xor gate circuit diagram.

[DIAGRAM] 3 Input Xor Gate Logic Diagram - MYDIAGRAM.ONLINE

3 input xor gate circuit diagram

Xor inputs equivalent3 input xor gate cmos circuit diagram [diagram] logic diagram of xor gate[diagram] 3 input xor gate logic diagram.

Introduction to xor gate3 input xor gate cmos circuit 3 input xor gate circuit diagram[diagram] 3 input xor gate logic diagram.

3 Input Xor Gate Cmos Circuit Diagram - Wiring Diagram and Schematics

Xor gate schematic diagram

Nand xor gates nor logic circuit xnor vhdl verify simulate truth circuits scosche input basic ckt inputsCmos xor gate circuit diagram Introduction to xor gateIntroduction to xor gate.

.

Introduction to XOR Gate
3 Input Xor Gate Logic Diagram | Online Wiring Diagram

3 Input Xor Gate Logic Diagram | Online Wiring Diagram

Ernest Shackleton International Moralische Erziehung xor gate Pakistan

Ernest Shackleton International Moralische Erziehung xor gate Pakistan

3 Input Xor Gate Circuit Diagram

3 Input Xor Gate Circuit Diagram

3 Input Xor Gate Circuit Diagram

3 Input Xor Gate Circuit Diagram

3 Input Xor Gate Circuit Diagram

3 Input Xor Gate Circuit Diagram

3 Input Xor Gate Circuit Diagram

3 Input Xor Gate Circuit Diagram

[DIAGRAM] 3 Input Xor Gate Logic Diagram - MYDIAGRAM.ONLINE

[DIAGRAM] 3 Input Xor Gate Logic Diagram - MYDIAGRAM.ONLINE

3 Input Xor Gate Cmos Circuit Diagram » Wiring Digital And Schematic

3 Input Xor Gate Cmos Circuit Diagram » Wiring Digital And Schematic

← 3 Input And Circuit Diagram 3 Level Inverter Circuit Diagram →

YOU MIGHT ALSO LIKE: